Główny Urząd Statystyczny prezentuje wstępny szacunek produktu krajowego brutto (PKB) za I kwartał 2009 r. *
W pierwszej części notatki przedstawiono dane opisujące zmiany realne PKB i jego
elementów wyrównane sezonowo, wyrażone w cenach stałych przy roku odniesienia 2000, przy podstawie kwartał poprzedni = 100. W drugiej części zaprezentowano zmiany realne PKB i jego elementów niewyrównane sezonowo w cenach stałych średniorocznych roku poprzedniego w odniesieniu do analogicznego kwartału roku poprzedniego.

* Uwaga:
Dane z rachunków narodowych prezentowane są w układzie Polskiej Klasyfikacji Działalności
2004 (NACE Rev.1.1) i jest to zgodne z zaleceniami Komisji Europejskiej dla krajów członkowskich
Unii Europejskiej. Przewiduje się, że dane w nowym układzie klasyfikacyjnym (PKD 2007) będą
publikowane od 1 września 2011 r.
Produkt krajowy brutto wyrównany sezonowo (kwartał poprzedni =100, ceny stałe przy
roku odniesienia 2000)
W porównaniu z poprzednim kwartałem, w I kwartale 2009 r. PKB wyrównany sezonowo1
zmienił się realnie o +0,4 %.
Wartość dodana brutto w gospodarce narodowej w I kwartale 2009 r. zmieniła się realnie o +0,1 %.
W przemyśle wartość dodana brutto w I kwartale 2009 r. zmieniła się realnie
o -1,4 %.
Wartość dodana brutto w budownictwie w I kwartale 2009 r. zmieniła się realnie
o +0,5 %.
W sektorze usług rynkowych wartość dodana brutto w I kwartale 2009 r. zmieniła się realnie o +1,1 %.
Popyt krajowy w I kwartale 2009 r. zmienił się realnie o -0,8 %.
W I kwartale 2009 r. spożycie ogółem zmieniło się realnie o +1,3 %, natomiast spożycie
indywidualne o +1,2 %.
W I kwartale 2009 r. nakłady brutto na środki trwałe zmieniły się realnie o -0,9 %.
W tablicach 1 i 2 przedstawiono wskaźniki dynamiki realnej przy podstawach odpowiednio:
kwartał poprzedni = 100 oraz analogiczny kwartał roku poprzedniego = 100, w cenach stałych przy roku odniesienia 2000, dla szeregów czasowych PKB i wybranych zmiennych, dla danych surowych, wyrównanych sezonowo i trendu.





Produkt krajowy brutto niewyrównany sezonowo (ceny stałe średnioroczne roku
poprzedniego)
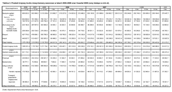
Według wstępnego szacunku produkt krajowy brutto (PKB) w I kwartale 2009 r. był
wyższy realnie o 0,8 %, w porównaniu z analogicznym okresem roku poprzedniego.

Wartość dodana brutto w gospodarce narodowej w I kwartale 2009 r., w porównaniu z analogicznym okresem 2008 roku, była wyższa o 1,2 %.
Wartość dodana brutto w przemyśle spadła o 5,9 % w porównaniu z analogicznym
okresem 2008 roku, natomiast w budownictwie wzrosła odpowiednio o 3,4 %.
W sektorze usług rynkowych wartość dodana brutto w I kwartale 2009 r., w porównaniu z analogicznym okresem 2008 roku, była wyższa o 3,1 %, w tym wartość dodana brutto w handlu i naprawach wzrosła o 1,9 %, natomiast w transporcie, gospodarce magazynowej i łączności o 0,3 %.
Popyt krajowy w I kwartale 2009 r., w porównaniu z analogicznym okresem 2008 roku, był niższy o 1,0 % przy wzroście PKB o 0,8 %.
Spożycie ogółem w I kwartale 2009 r., w porównaniu z analogicznym okresem 2008 roku, było wyższe o 3,9 %, w tym spożycie indywidualne o 3,3 %, a spożycie publiczne wzrosło o 6,1%.
Nakłady brutto na środki trwałe w I kwartale 2009 r. były wyższe o 1,2 %, w porównaniu z
analogicznym okresem 2008 roku. Stopa inwestycji (relacja nakładów brutto na środki trwałe do
produktu krajowego brutto w cenach bieżących) wyniosła 14,9 % wobec 15,1 % przed rokiem.
Szczegółowe dane liczbowe dla szeregów czasowych PKB i jego zmiennych w cenach
bieżących oraz wskaźniki dynamiki realnej (przy podstawie analogiczny okres roku poprzedniego =100, w cenach stałych średniorocznych roku poprzedniego) zawierają tablice 3 i 4.


Tablica 5 zawiera wskaźniki skali wpływu poszczególnych kategorii na wzrost realny PKB.

----------
1 Na podstawie analizy technicznej danych surowych o produkcie krajowym brutto za I kwartał 2009 r., wykorzystującej procedurę TRAMO/SEATS, uzyskano informacje opisujące zmiany realne PKB i jego elementów wyrównanych sezonowo, przy podstawie poprzedni kwartał = 100.
-----
Opracowanie: Departament Rachunków Narodowych
źródło: GUS
                                    
                                        
                                    
                                
                            
                                
                                    
                                        
                                    
                                
                            
                                
                                    
                                        
                                    
                                
                                            
            W pierwszej części notatki przedstawiono dane opisujące zmiany realne PKB i jego
elementów wyrównane sezonowo, wyrażone w cenach stałych przy roku odniesienia 2000, przy podstawie kwartał poprzedni = 100. W drugiej części zaprezentowano zmiany realne PKB i jego elementów niewyrównane sezonowo w cenach stałych średniorocznych roku poprzedniego w odniesieniu do analogicznego kwartału roku poprzedniego.

* Uwaga:
Dane z rachunków narodowych prezentowane są w układzie Polskiej Klasyfikacji Działalności
2004 (NACE Rev.1.1) i jest to zgodne z zaleceniami Komisji Europejskiej dla krajów członkowskich
Unii Europejskiej. Przewiduje się, że dane w nowym układzie klasyfikacyjnym (PKD 2007) będą
publikowane od 1 września 2011 r.
Produkt krajowy brutto wyrównany sezonowo (kwartał poprzedni =100, ceny stałe przy
roku odniesienia 2000)
W porównaniu z poprzednim kwartałem, w I kwartale 2009 r. PKB wyrównany sezonowo1
zmienił się realnie o +0,4 %.
Wartość dodana brutto w gospodarce narodowej w I kwartale 2009 r. zmieniła się realnie o +0,1 %.
W przemyśle wartość dodana brutto w I kwartale 2009 r. zmieniła się realnie
o -1,4 %.
Wartość dodana brutto w budownictwie w I kwartale 2009 r. zmieniła się realnie
o +0,5 %.
W sektorze usług rynkowych wartość dodana brutto w I kwartale 2009 r. zmieniła się realnie o +1,1 %.
Popyt krajowy w I kwartale 2009 r. zmienił się realnie o -0,8 %.
W I kwartale 2009 r. spożycie ogółem zmieniło się realnie o +1,3 %, natomiast spożycie
indywidualne o +1,2 %.
W I kwartale 2009 r. nakłady brutto na środki trwałe zmieniły się realnie o -0,9 %.
W tablicach 1 i 2 przedstawiono wskaźniki dynamiki realnej przy podstawach odpowiednio:
kwartał poprzedni = 100 oraz analogiczny kwartał roku poprzedniego = 100, w cenach stałych przy roku odniesienia 2000, dla szeregów czasowych PKB i wybranych zmiennych, dla danych surowych, wyrównanych sezonowo i trendu.





Produkt krajowy brutto niewyrównany sezonowo (ceny stałe średnioroczne roku
poprzedniego)
Według wstępnego szacunku produkt krajowy brutto (PKB) w I kwartale 2009 r. był
wyższy realnie o 0,8 %, w porównaniu z analogicznym okresem roku poprzedniego.

Wartość dodana brutto w gospodarce narodowej w I kwartale 2009 r., w porównaniu z analogicznym okresem 2008 roku, była wyższa o 1,2 %.
Wartość dodana brutto w przemyśle spadła o 5,9 % w porównaniu z analogicznym
okresem 2008 roku, natomiast w budownictwie wzrosła odpowiednio o 3,4 %.
W sektorze usług rynkowych wartość dodana brutto w I kwartale 2009 r., w porównaniu z analogicznym okresem 2008 roku, była wyższa o 3,1 %, w tym wartość dodana brutto w handlu i naprawach wzrosła o 1,9 %, natomiast w transporcie, gospodarce magazynowej i łączności o 0,3 %.
Popyt krajowy w I kwartale 2009 r., w porównaniu z analogicznym okresem 2008 roku, był niższy o 1,0 % przy wzroście PKB o 0,8 %.
Spożycie ogółem w I kwartale 2009 r., w porównaniu z analogicznym okresem 2008 roku, było wyższe o 3,9 %, w tym spożycie indywidualne o 3,3 %, a spożycie publiczne wzrosło o 6,1%.
Nakłady brutto na środki trwałe w I kwartale 2009 r. były wyższe o 1,2 %, w porównaniu z
analogicznym okresem 2008 roku. Stopa inwestycji (relacja nakładów brutto na środki trwałe do
produktu krajowego brutto w cenach bieżących) wyniosła 14,9 % wobec 15,1 % przed rokiem.
Szczegółowe dane liczbowe dla szeregów czasowych PKB i jego zmiennych w cenach
bieżących oraz wskaźniki dynamiki realnej (przy podstawie analogiczny okres roku poprzedniego =100, w cenach stałych średniorocznych roku poprzedniego) zawierają tablice 3 i 4.


Tablica 5 zawiera wskaźniki skali wpływu poszczególnych kategorii na wzrost realny PKB.

----------
1 Na podstawie analizy technicznej danych surowych o produkcie krajowym brutto za I kwartał 2009 r., wykorzystującej procedurę TRAMO/SEATS, uzyskano informacje opisujące zmiany realne PKB i jego elementów wyrównanych sezonowo, przy podstawie poprzedni kwartał = 100.
-----
Opracowanie: Departament Rachunków Narodowych
źródło: GUS
REKLAMA:
                                REKLAMA:
                                REKLAMA: